Contact: sales@haomai.net
Protection Device: PCS-985 Generator-transformer Unit Protection Device
Test Equipment: Relaystar-7000S Digital-analog Integrated Relay Protection Tester
For the generator-transformer unit system of a power plant, the main transformer is a three-winding transformer, and the low-voltage side of the station transformer is of double-branch structure. The generator-transformer unit differential protection includes four branch currents, namely the 220kV side current I1, 110kV side current I2, high-voltage station transformer high-voltage side current I3 and generator neutral point side current I4 of the main transformer. The polarity terminals of TA on each side are shown in the figure below. The reference direction of each side current is defined as positive when flowing into the generator-transformer unit.

△ Generator-transformer Unit System Diagram

△ Generator Partial Simplified Diagram

△ Percentage Differential Operating Characteristic
Percentage Differential Protection Operating Equation:

This paper briefly introduces how to use the Relaystar-7000S Digital-analog Integrated Relay Protection Tester to commission the PCS-985 generator longitudinal differential protection.

△ Relaystar-7000S Digital-analog Integrated Relay Protection Tester
|
Serial Number |
Setting Name |
Value |
Serial Number |
Setting Name |
Value |
|
01 |
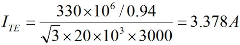
Generator Rated Capacity |
330MVA |
11 |
Differential Instantaneous Protection Enable |
1 |
|
02 |
Generator Power Factor |
0.94 |
14 |
Maximum Slope of Percentage Restraint |
0.5 |
|
03 |
Primary Rated Voltage |
20kV |
16 |
Percentage Differential Protection Enable |
1 |
|
04 |
Primary Side of Generator TA |
15000A |
- |
- |
- |
|
05 |
Secondary Side of Generator TA |
5A |
- |
- |
- |
|
07 |
Percentage Differential Pickup Value |
0.2Ie |
- |
- |
- |
|
08 |
Differential Instantaneous Pickup Value |
2Ie |
- |
- |
- |
|
09 |
Initial Slope of Percentage Restraint |
0.1 |
- |
- |
- |
For the generator protection wiring mode, currents are injected into the generator terminal and the generator neutral point respectively during the test. The currents applied to the generator terminal and the neutral point are equal in magnitude and identical in direction.

△ PCS-985 Generator Differential Wiring Diagram


△ Generator Balancing Current Parameter Settings
|
Serial Number |
Current on Side 1 (A) |
Current on Side 2 (A) |
Restraint Current Ir (A) |
Differential Current Id (A) |
|
A |
Ie |
Ie |
Ie |
Ie |
|
1 |
0.337 |
0.1 |
1.007 |
0.32 |
|
2 |
0.674 |
0.2 |
1.464 |
0.44 |
|
3 |
1.685 |
0.5 |
2.635 |
0.78 |
|
4 |
3.337 |
1 |
4.647 |
1.38 |
|
5 |
6.74 |
2 |
9.15 |
2.71 |
|
6 |
10.11 |
3 |
14.19 |
4.21 |
|
7 |
13.48 |
4 |
19.78 |
5.87 |
Based on the restraint current Ir and differential current Id from the above test data, the generator longitudinal differential percentage boundary curve can be plotted.

△ Generator Longitudinal Differential Percentage Boundary Curve
Copyright © 2024 All rights Reserved.
备案号:鄂ICP备05010718号-1